科学技术发展日新月异,经济发展的速度也在不断加快,在世界范围内能源的使用率不断升高,能源问题已成为全球关注的热点话题。据相关资料显示,中国 能源消耗的总量在2009年已经超过美国跃居为世界消耗能源量最多的国家[1]。在这样的发展大背景下,本文主要对供配电设计中的节能方法和措施进行了详 细地探讨和论述。
1 供配电系统总体规划
在设计供配电系统的总体方案时,应综合考虑多种因素,主要有负荷性质、用电设备特性、用电容量、供电距离以及负荷分布等因素,然后选择合理的电压等 级,进而设计出科学合理的配供电系统方案。在节约电能和投资成本方面,可以采用简化接线和减少配变电级数的方法实现。在确定变压器的台数和容量时,需要考 虑到经济运行和负荷特点的实际情况,对于那些受昼夜和季节性影响较大的负荷,在确定变压器的容量时,需要将负荷计算出来并考虑经济和技术因素。
通常,供电电压值和线路电流值成反比,即线路的电流越小,供电电压越高。线路上的电流越小,线路上电能的耗损量就越小。在减少线路上的电能损耗方 面,总变电所和配电所还可以采取减小与负荷中心的距离和减小供电半径的方法来达到降低电能损耗的目的。在供电电压的范围内,利用提高线路的电压等级的方法 也有助于减少电能的损耗。然而在提高线路电压等级的情况下,电气设备也需要提高绝缘性能,这样就提高了投资成本。所以,这种方法需要在经济技术对比较为合 理的情况下才能实施。
一般情况下,输电网的总干线使用的电压等级是500 kV、220 kV以及330 kV,相邻电网之间的联络线大多也是采用这样的电压等级;二级输电网采用的电压等级通常为220 kV和110 kV;城乡配电网和大型工业企业内部电网中的电压等级一般采用35 kV。较低一级比较常用的高压配电电压为10 kV,但是如果负荷中高压电动机占有很大的比重时,采用6 kV的配电方案是比较经济合理的。以某冶炼厂为例,该厂中高压电动机总容量和负荷数量所占的比例非常大,该企业在选择电压等级时将这一因素进行了深入地分 析,最终选择了110 kV/6 kV的变配电方式。另外,各级电压等级和相对应线路输送能力之间的关系(见表1)也是在设计供配电系统总体方案中确定电压等级需要考虑的因素。

注:供配电线路的输送能力受到多方面因素的影响,主要有导线的敷设方式、导线截面、导线的排列方式、工作温度、功率因数以及导线间的几何间距等,标准列出的数据仅表示大概范围。
2 供配电线路的设计
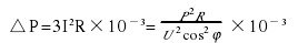
电力线路按结构可分为两大类:架空线路和电缆线路。金属导线的功能就是为输电线路传输电能,然而导线存在一定的电阻,因此输电线路在输电过程中总会出现一定的功率损耗。以下为三相输电线路的功率耗损的公式:

式中:△P为三相输电线路的功率消耗;I为线路电流;R为输电线路中每相线路的电阻;P为输电线路输送的有功功率;U表示电压;cosφ为输电线路 的功率因数。由公式可知,输电线路的功率消耗和输电线路的电压、功率因数以及输电线路的电阻有密切的关系。当负荷功率数值不变时,输电线路上的耗损功率和 功率因数的平方成反比,和电压的平方也成反比,而与输电线路的电阻成正比。因此,在设计供配电线路方案时,可以采用降低输电线路电阻的方式以及提高输电线 路功率因数和电压等级等方式来实现降低功率损耗和节约电力资源的目的。
输电线路电阻的公式为:R=PL/S,从中我们得出电阻和导线的长度是正比例关系,与导线的电阻率P也是正比例关系,而与导线截面S成则是反比例关系。因此,我们可以采取一些措施来达到降低电阻的目的。
(1)最好选择铜芯导线,铝线等电阻率P比较小的导线。(2)在设计过程中,应尽可能使输电线路沿着直线的方向,尽量不要沿着曲线的方向,这就需要 变电所尽量缩短与负荷中心的距离,减小供电半径;在低压配电过程中,也尽量使输电线路不往回走,这样可以最大限度地减少输电导线的长度,从而减少输电线路 的电阻。(3)将输电导线的截面面积适当增大。
3 电气设备选择
在供配电设计中,电器设备的合理选择对改善电网的电能质量和提高用电设备的自然功率因数具有十分重要的作用,进而可以有效减少电能资源的损耗。一般 情况下,工业企业消耗的无功功率中变压器、异步电动机以及线路所占的比例分别为20%、70%以及10%[2]。在设计中,为了减少线路感抗,利用正确选 择变压器的容量和电动机的方法来实现。在功率条件合理的时候,想要提高用电单位的自然功率因数,可以采取有效措施来实现,如运用同步电动机和选择使用间隙 工作制设备,前提是该设备具有空载切除功能。在选择电动机的经常负荷时,应尽量高于额定容量的40%;而要使变压器的负荷率高于60%,最好将其控制在 75%~85%这个范围内。
提高电动机的功率因数和工作效率可以有效减少电动机的能源消耗量。异步电动机空载时的因数还不到0.4,轻载时功率因数大致为0.6,由此可见,异 步电动机在空载和轻载运行时,功率因数都不太高。当异步电动机的负荷在70%以上,甚至在满载负荷的条件运行时,其功率因数大概为0.85,这时功率因数 相对较高一些。因此 ,设计时若能选择容量合适并且又能使电动机满负荷运行时,将会使电动机的自然因数得到很大的提高。所以,在设计选型时应将高能耗且效率低的电动机淘汰掉, 而应选择稀土永磁电动机、高效节能电动机等工作效率高并且又节约能源的机型。同时,在选择电动机时,还需要充分考虑启动次数、负荷特性以及调速方面等因 素,以防出现电能浪费的现象。





